Hallo Mike,
die Frage ist nach meinem Verständnis nicht, wieso beim 2-Kontakt-Verteiler die Kurve gekrümmt ist, sondern wieso sie bei anderen Verteilern meist linear dargestellt wird. Wenn ich das richtig erinnere, wächst die Zentrifugalkraft mit dem Quadrat der Geschwindigkeit, wohingegen die Federkraft, die dagegen wirkt, linear zur Auslenkung ansteigt (Federkonstante). Damit ergibt sich zwingend eine exponentiale Kurve.
Da die Verstellkurve des alten Verteilers keinen Knick aufweist, ist davon auszugehen, dass beide Federn parallel arbeiten und keine unterschiedliche Vorspannung haben. Es dürfte daher egal sein, wie herum das Oberteil aufgesetzt wird. Vielleicht soll die Markierung eine Herstellungsabweichung kennzeichnen, dann wäre die richtige Stellung die, in der es besser in die Ösen hineinflutscht.
Disclaimer: Ich bin nicht "vom Fach", das Gesagte basiert auf Erinnerungen an meine Schulzeit, Physik Mittelstufe, und das ist fast ein halbes Jahrhundert her. Falls ich Blödsinn geschrieben gabe, bitte ich um Nachsicht.
Viele Grüsse
Robert
Immer noch Zündungsprobleme
Re: Immer noch Zündungsprobleme
'59 DS 19/'66 ID 19/'68 DS 21 Pallas/'71 SM /'71 SM in Arbeit/'84 Renault R4F6 in Arbeit/'96 Saab 900 CV/'98 BMW 1100 GS
Re: Immer noch Zündungsprobleme
Hallo,
zur Ergänzung:
[attachment 13470 Zuendkurve_Ur-DS.png]
Man beachte auch das ungewöhnlich breite Toleranzband.
Gruß Michael
zur Ergänzung:
[attachment 13470 Zuendkurve_Ur-DS.png]
Man beachte auch das ungewöhnlich breite Toleranzband.
Gruß Michael
Re: Immer noch Zündungsprobleme
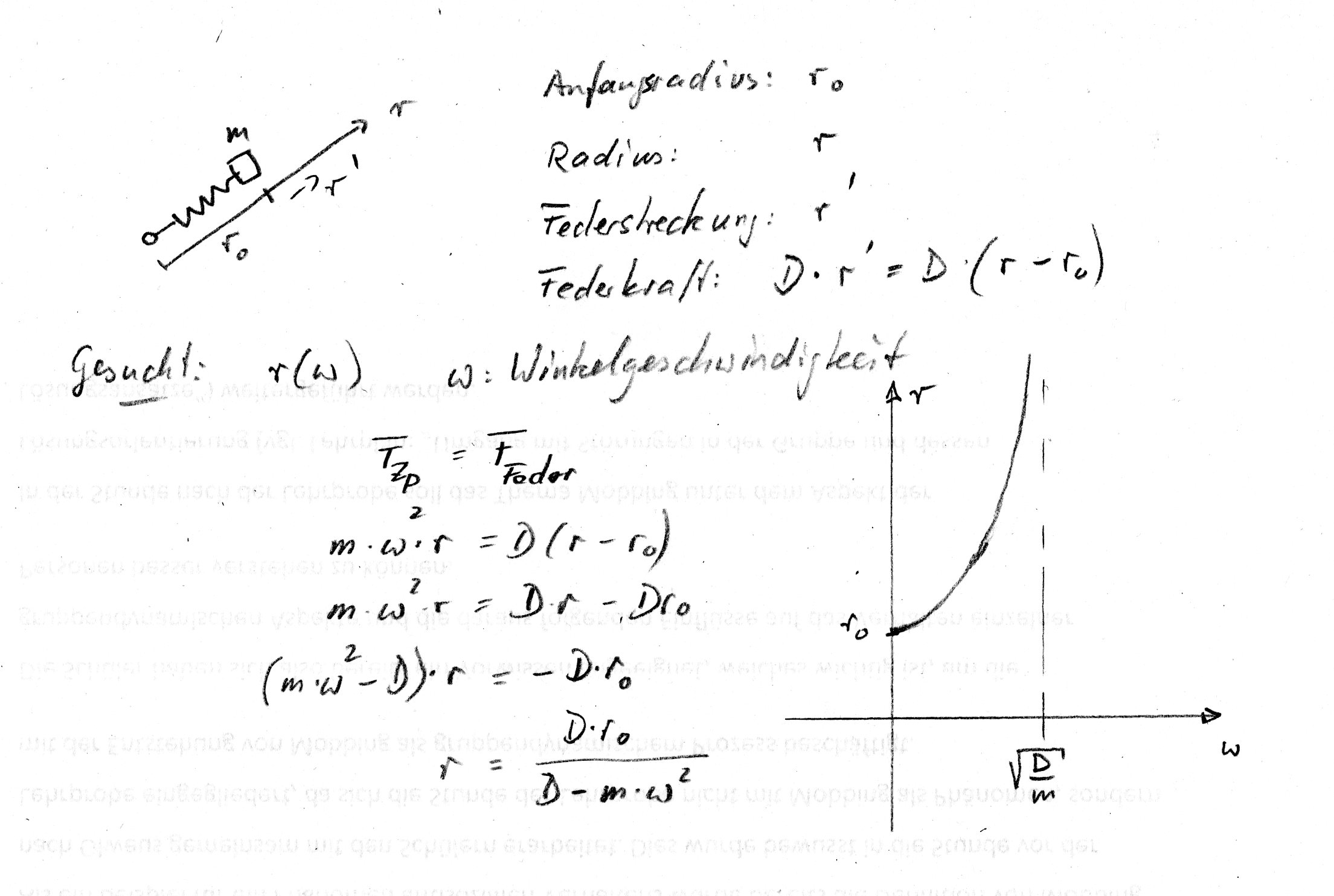
Hallo,
ich kann leider nur etwas Theorie beitragen:
In der 11.Klasse des bayerischen G9 Gymansiums hätte man folgende Aufgabe stellen können:
Eine Masse m wird an einer Feder mit der Ausgangslänge r0 und der Federhärte D mit der Winkelgeschwindigkeit w (Omega) im Kreis herumgeschleudert. Wie hängt der Radius der Kreisbahn von der Winkelgeschwindigkeit ab? Dazu natürlich eine saubere Zeichnung.
[attachment 13471 Fliehkraftregler.jpg]
Es ergibt sich etwas "hyberbelähnliches".
So ähnlich sieht ja die Grafik von Michael auch aus.
Es erscheint mir jetzt eher merkwürdig, dass die Kurven der neueren Verteiler so gerade verlaufen. Das muss an der "Hebelei" liegen.
Ich denke, dass der Einbau egal ist, wenn alles leichtgängig läuft. Die Blattfedern könnten schon ähnlich wirken, wie die Spiralfeder in meiner Aufgabe.
Viel Erfolg,
pit
ich kann leider nur etwas Theorie beitragen:
In der 11.Klasse des bayerischen G9 Gymansiums hätte man folgende Aufgabe stellen können:
Eine Masse m wird an einer Feder mit der Ausgangslänge r0 und der Federhärte D mit der Winkelgeschwindigkeit w (Omega) im Kreis herumgeschleudert. Wie hängt der Radius der Kreisbahn von der Winkelgeschwindigkeit ab? Dazu natürlich eine saubere Zeichnung.
[attachment 13471 Fliehkraftregler.jpg]
Es ergibt sich etwas "hyberbelähnliches".
So ähnlich sieht ja die Grafik von Michael auch aus.
Es erscheint mir jetzt eher merkwürdig, dass die Kurven der neueren Verteiler so gerade verlaufen. Das muss an der "Hebelei" liegen.
Ich denke, dass der Einbau egal ist, wenn alles leichtgängig läuft. Die Blattfedern könnten schon ähnlich wirken, wie die Spiralfeder in meiner Aufgabe.
Viel Erfolg,
pit
Re: Immer noch Zündungsprobleme
Danke an alle die sich Gedanken zu dem Thema gemacht haben!
Ich habe inzwischen alles nochmals zerlegt.
Die Differenz beträgt nur 0,1 -0,25 mm.
Es lässt sich in beiden Stellungen ohne Probleme zusammenbauen und funktioniert ohne sichtbaren Unterschied.
Eventuell ist die Markierung so zu erklären, dass die kürzere Seite markiert wurde.
Gegenüberliegend montiert gleichen sich dann die Abweichungen aus.
Zur Theorie: Die Verstellung des Parallelogramms erfolgt nicht durch die Durchbiegung der Feder alleine sondern durch die daraus resultierende Längenänderung.
Dadurch dürfte sich die Formel noch etwas verkomplizieren.
viele Grüße
Mike
Ich habe inzwischen alles nochmals zerlegt.
Die Differenz beträgt nur 0,1 -0,25 mm.
Es lässt sich in beiden Stellungen ohne Probleme zusammenbauen und funktioniert ohne sichtbaren Unterschied.
Eventuell ist die Markierung so zu erklären, dass die kürzere Seite markiert wurde.
Gegenüberliegend montiert gleichen sich dann die Abweichungen aus.
Zur Theorie: Die Verstellung des Parallelogramms erfolgt nicht durch die Durchbiegung der Feder alleine sondern durch die daraus resultierende Längenänderung.
Dadurch dürfte sich die Formel noch etwas verkomplizieren.
viele Grüße
Mike
Re: Immer noch Zündungsprobleme
Hallo Mike,
verstehe ich das richtig, dass die Buchsen, in die das obere Teil eingesetzt wird, am Rand des Gehäuses anliegen und dadurch geführt werden?
Das muss ja auch so sein, damit der Abstand von der Drehachse konstant bleibt. Die Blattfedern sind also an beiden Enden geführt und verbiegen sich in der Mitte als Feder. Dabei gleitet dann die eine Buchse im Gehäuse. Der Abstand der Buchsen bzw. die Sehnenlänge der Blattfeder ändert sich dabei.
Hab ich das richtig verstanden?
Sind die Buchsen eigentlich Rollen?
Grüße,
pit
verstehe ich das richtig, dass die Buchsen, in die das obere Teil eingesetzt wird, am Rand des Gehäuses anliegen und dadurch geführt werden?
Das muss ja auch so sein, damit der Abstand von der Drehachse konstant bleibt. Die Blattfedern sind also an beiden Enden geführt und verbiegen sich in der Mitte als Feder. Dabei gleitet dann die eine Buchse im Gehäuse. Der Abstand der Buchsen bzw. die Sehnenlänge der Blattfeder ändert sich dabei.
Hab ich das richtig verstanden?
Sind die Buchsen eigentlich Rollen?
Grüße,
pit
Re: Immer noch Zündungsprobleme
Hallo Pit,
Nicht ganz, die Federenden sind Ösen in denen Messingbuchsen mit Bund stecken.
Darin stecken die Achsen von Ober- Unterteil diagonal über Kreuz. Am Gehäuse berührt da nichts.
Durch die Verkürzung der Federn verstellt sich das Parallelogramm und das Oberteil dreht sich nach rechts.
Ich hoffe ich konnte das anschaulich beschreiben.
viele Grüße
Mike
Nicht ganz, die Federenden sind Ösen in denen Messingbuchsen mit Bund stecken.
Darin stecken die Achsen von Ober- Unterteil diagonal über Kreuz. Am Gehäuse berührt da nichts.
Durch die Verkürzung der Federn verstellt sich das Parallelogramm und das Oberteil dreht sich nach rechts.
Ich hoffe ich konnte das anschaulich beschreiben.
viele Grüße
Mike
Re: Immer noch Zündungsprobleme
Danke, Mike,
ich glaube jetzt hab ich es verstanden. Ja das wird noch eine Stufe komplizierter. Ich werd mich noch damit beschäftigen, damit die grauen Zellen im Schwung bleiben. Aber dir hilft das auch nicht weiter.
Bleib gesund!
Pit
ich glaube jetzt hab ich es verstanden. Ja das wird noch eine Stufe komplizierter. Ich werd mich noch damit beschäftigen, damit die grauen Zellen im Schwung bleiben. Aber dir hilft das auch nicht weiter.
Bleib gesund!
Pit